Vremenski niz
| Sjedište: | CARNET - Arhiva 2021 Loomen |
| E-kolegij: | Statistika za srednjoškolce i priprema za natjecanje |
| Knjiga: | Vremenski niz |
| Otisnuo/la: | Gost (anonimni korisnik) |
| Datum: | utorak, 3. ožujka 2026., 05:06 |
1. Formiranje vremenskog niza i njegove osnovne značajke
2. Grafičko prikazivanje vremenskog niza
Često se u analizi vremenskog niza koriste grafički prikazi. Grafičkim se prikazima uočavaju temeljna obilježja razvoja pojave koje predočuju niz.
Intervalni nizovi prikazuju se površinskim i linijskim grafikonima, a trenutačni
nizovi samo linijskim grafikonima. Prikazuju se u pravokutnom koordinatnom
sustavu s aritmetičkim mjerilima na osima.
Na apscisu se unosi mjerilo za varijablu vremena, a na ordinatu frekvencije
vremenskog niza.
Primjeri:
Posebna vrsta linijskog grafikona za vremenske nizove s izraženom sezonskom komponentom je POLARNI (RADARSKI) DIJAGRAM.

3. Indeksi vremenskog niza
Indekse vremenskog niza možemo podijeliti:
Individualni
indeksi dijele se na:
a) verižne indekse
b) indekse na stalnoj osnovici
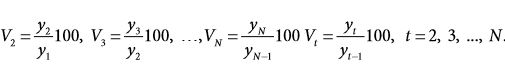
4. Verižni indeksi
Verižni indeksi su relativni brojevi ( u %) koji pokazuje promjene stanja pojave u uzastopnim razdobljima, odnosno pokazuju za koliko se posto vrijednost pojave u jednom razdoblju promijenila u odnosu na prethodno razdoblje. Verižni indeksi nazivaju se i indeksi na promjenjivoj bazi ili lančani indeksi jer im se baze mijenjaju iz razdoblja u razdoblje.
Izračunavaju se prema izrazu:
Verižni indeks Vt pokazuje koliko jedinica pojave u razdoblju t dolazi na svakih sto jedinica pojave u razdoblju (t–1). Omjer tekuće i prethodne vrijednosti vremenskog niza nepomnožen sa sto naziva se koeficijentom dinamike.
Stopa promjene je relativni (postotni) iznos promjene razine pojave tekućeg razdoblja prema prethodnom razdoblju. Dana je izrazom:
5. Indeksi na stalnoj osnovici
Indeksi na stalnoj osnovici izračunavaju se onda kada je potrebno izraziti promjene vremenske pojave u odnosu prema članu niza jednoga odabranog razdoblja ili vremenske točke. Indeksi vremenskog niza na stalnoj osnovici izračunavaju se tako da se svaki član od N članova podijeli s odabranom bazičnom veličinom yb i zatim pomnoži sa sto.
Za bazično se razdoblje uzima ono u kojemu pojava nije bila izložena posebnim utjecajima, to jest ako vrijednost nije neobično velika ni neobično mala. Indeks na stalnoj osnovici It pokazuje koliko jedinica pojave u razdoblju t dolazi na svakih sto jedinica pojave u razdoblju b, odnosno na svakih sto jedinica bazične veličine.
6. Skupni indeksi
Skupni su indeksi relativni brojevi koji služe za istodobno praćenje razvoja u vremenu dviju ili više pojava koje čine logičnu cjelinu. Ovisno o tome mjere li se u vremenu promjene cijena, količina ili vrijednosti, razlikuju se skupni indeks cijena, skupni indeks količina i skupni indeks vrijednosti.